硅烷改性聚氨酯(SPUR)和硅烷改性聚醚(MS)有什么区别?这个问题,实际上很难回到;按照迈图的讲法,在长链中,有氨基甲酸酯集团(聚氨酯基团)的,就是SPUR;而长链中,没有聚氨酯基团的,一般称为硅烷改性聚醚;但是,笔者用拜耳的ACCLAIM 12200N聚醚,加迈图的A-LINK25做过一次实验,发现,这样出来的产品;粘度和KANEKA的硅烷改性聚醚,应该比较接近,甚至更低;但是,力学性能,实在无法和KANEKA的MS相提并论。
从这一点,笔者开始对硅烷改性聚氨酯和硅烷改性聚醚的合成路线,进行研究;首先是市场上现有的产品而言;迈图,拜耳主要是生产SPUR,而钟渊和瓦克,生产硅烷改性聚醚;但是,这几家厂商的产品,还是有一些本质的区别的;
首先是迈图,从1050和1015的粘度来看,我敢负责的讲,肯定是用端羟基的产品接枝上硅烷的合成路线;所以,迈图要讲,长链中有聚氨酯基团,就是硅烷改性聚氨酯;但是,为什么迈图要强调自己是硅烷改性聚氨酯呢?
拜耳的2458,从粘度上来看,是典型的硅烷改性聚氨酯产品,应该是用拜耳的聚醚加上异氰酸酯,然后用仲胺基硅烷来进行封端;这类树脂有点是,有脲键,耐水性能非常好;化学性质也应该比较稳定;缺点也是同样的明显,首先是粘度过大,其次是产品的自催化作用太明显,混合的工艺非常难弄,搞不好就在釜内凝胶(这点在做高模量黑胶是特别明显),实在是不适合国内国情;
钟渊的MS,粘度非常低,树脂的力学性能也非常好,203,303,SAT400,产品的模量配备也非常齐全;生产加工性能也非常好;但是,MS从他们自身的宣传资料上来看,他们一般不突出耐水性能和耐候性能;而且,从钟渊的一些相关产品中,比如MA树脂(MS和环氧的混合物)的宣传和一些日本厂商的成品中,也没有发现耐水性能的特别宣传;这说明什么问题呢?
瓦克的STPE,不是很熟悉,从仅有的一些信息来看,力学性能是不如钟渊的,自催化是不适合中国的;价格好像更是贵的有点离谱;就不做评论了。
迈图:1050和1015都是那三甲氧基硅烷进行封端,三甲氧基硅烷的优点是反应活性比较高,做出密封胶时的催化剂,用二月桂酸二丁基锡(DBTL),填加量一般在1000份树脂,1到1.5份催化剂左右;但是,树脂本身的反应活性高,就好吗?前面讲过,反应活性高,未必适合中国市场;国内市场的纳米碳酸钙,其他填料的含水率,一般要比国外产品要高,而且不稳定;这样,如果树脂本身的储存期过长;比如半年左右,那在混合的时候,对填料水分的要求就更高;而硅烷改性类密封胶的生产最大优势就是填料的非烘干工艺;这个在国内做1050黑胶的时候,发生釜内凝胶的现象,就会比较多;听说迈图现在在搞三乙氧基的硅烷封端产品,希望他们能尽快搞出来;
拜耳:三甲氧基钟胺基硅烷和NCO反应后,再加上他们用的MESAMOLL的增塑剂;自催化作用非常明显,甚至不加催化剂,就会在釜内凝胶,更不适合国内市场;
钟渊:甲基二甲氧基硅烷封端;刚开始,我一直不明白,为什么钟渊要选择这个封端?但是,结合前面的讨论;就不难明白是为什么了;人家的产品,可是在1980年以前,就推向市场了,当时的辅料可能会让钟渊不得不选择这类的封端;要特别讲的是,钟渊产品的催化剂选择,用国内传统的DBTL,是不行的!只能用所谓的酮二丁基锡(又称螯合锡)类的催化剂,100份树脂添加量在1到1.2份左右;催化剂用量是比三甲氧基的要大;但是,稳定的加工性能和密封胶的深层固化性能,都会比较好;从国外的产品来看,用MS树脂的产品,24小时的深层固化速率,一般都在4mm以上;
瓦克:有三甲氧基的,也有甲基二甲氧基的;估计瓦克也意识到了这个问题!我没有测过瓦克的甲基二甲氧基产品,也不清楚,他们如何能做到甲基二甲氧的产品的自催化和不用锡类催化剂!
硅烷改性密封胶胶,聚氨酯密封胶,硅酮密封胶的性能对比和应用分析
硅烷改性密封胶,其主要的成份实际上还是聚氨酯成份,有机硅仅仅用于封端改性上面;其力学性能要比硅酮胶好很多,适用范围也与硅酮胶有不同的用处;就笔者的观点而言,在大部分的建筑密封(比如室内装修,水泥接缝,木地板粘结等用途上),硅烷改性密封胶所具有的优势远远大于硅酮密封胶;还有,成本也是一个非常重要的因素;因为硅烷改性密封胶树脂能具有远优于107树脂的力学性能;所以,成本优势也是会在后期的运用中,慢慢地体现出来;国内的硅酮胶,是一个非常竞争激烈的市场,产品品质也是高低不一(以低性能的为主);而就力学性能这个角度去考虑问题的话,相同的成本,硅烷改性胶的力学性能,会远远高于硅酮胶;
而硅酮胶的优势在于耐候性能,以及国内配套的齐全和低技术门槛;而随着国内环保法规的慢慢严格,107的成本会越来越高;国内硅酮胶的成本优势会慢慢失去;这个现象,在欧洲和美国,正在慢慢地发生;我个人认为,国内赋予硅酮密封胶太多的应用和功能,而其中许多,是本不该用硅酮胶的;
而聚氨酯密封胶所具有的仅仅是力学性能优势;它的环保性能和成本,要远远高于硅烷改性胶和硅酮胶;在一些工业场所,比如汽车和轮船上用密封胶,聚氨酯曾经有比较大的市场占有率,而现在,该类市场,正在慢慢的被硅烷改性胶所侵蚀;主要原因是硅烷改性胶具有和聚氨酯胶差不多的力学性能以及相同的表面涂布性能;而储存稳定性能和硅酮胶又是一样的;环保挥发物又比聚氨酯胶低很多;有机硅改性所带来的粘结力提升使大部分为聚氨酯胶配套的底涂,成为多余;优势是非常的明显的;
国外,硅烷改性胶的市场份额,正在逐年提升中;其中的原因,成本对硅酮的替代和力学性能对聚氨酯的替代,起了非常大的作用;外国人是不傻的,他们应用技术,我个人认为,要比国内好很多;用的产品也理性很多。
讨论一下钟渊MS聚醚的合成路线:
KANEKA的MS,论坛中和一些学术论文中,对它的合成路线,主要集中在几下几点:
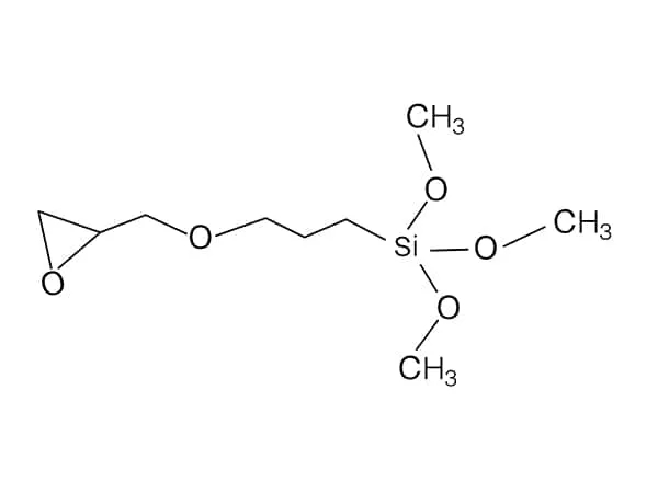
1. 用大分子量PPG(比如拜耳的12200N),改成烯丙基聚醚,然后用含氢硅烷接枝上烯丙基双键,形成MS;
2. 直接让聚醚厂商生产大分子量的烯丙基聚醚,然后硅烷接枝;
3. 用双官能团的产品(如MDI),来把单烯丙基单羟基聚醚进行合成,然后,进行硅烷接枝;
我个人觉得,钟渊的MS的合成路线是最难的;主要原因在于上述方法都是建立在大分子量的聚醚前提下,而MS是在1980年以前商品化的产品;当时,聚醚的生产工艺,还没有进化到双金属催化剂时代,没有非常大分子量聚醚的现货可以寻找;而测试MS303树脂的分子量(渗透凝胶色谱),大约在13000以上一点;所以,从逻辑上推断,用小分子量聚醚,进行扩链,是必须和必要的;难点是,就单纯的聚醚,做到13000分子量,粘度估计也要在6000cp左右;而钟渊的303,粘度才仅仅只有8000cp;就这点,让我对钟渊的扩链技术感到有点不可思议,这是在30年以前啊!
而且,KANEKA的MS,固化出来的树脂,力学性能比单纯用大分子量聚醚做出来的要好很多;这个我在前文中有描述;我的知识范围,实在是想不出钟渊的扩链方法;仅仅是猜想,因为MS的耐水性能不好,是否是用键能比较低的酯,来进行酯交换扩链;而我个人认为,烯丙基和含氢硅烷的接枝,对于合成MS而言,不是一个非常重要的技术;国内完全有能力解决这些问题。
国内很多人员尝试做过MS;但是,仅仅是形似,是无法真正的做成MS一样的品质的!用拜耳的ACCLAIM 12200N聚醚生产MS;首先,力学性能是不行的,至少不如MS;其次,拜耳的聚醚是天价产品,成本也是不可接受的!而用国产的大分子量PPG,首先,没有EO/PO共混的低不饱和度大分子量聚醚(是没有技术做并且国内聚醚厂商也没有激情去研发);纯PO聚醚,做成12000分子量,估计粘度要大于15000cp,并且,力学性能极差;是不可能的成MS的。
合成硅烷改性类产品,是一种交叉学科;即不能太专业于有机硅,也不能太专业于聚氨酯合成;但是,二者都要懂一点(关键是懂的对路);在国内,没有大的化工公司来协调和投资这类事情;仅仅靠个人,我估计,是有点难度的;毕竟,术也有专攻嘛!
希望论坛上的技术人员,能和我分享一下他们做MS的一些心得!!!
粘度
忘了写一个最关键指标的作用了:粘度!
硅烷改性聚氨酯或聚醚是做硅烷改性密封胶的主要原料,它的粘度大小,会直接影响到后面密封胶的一些性能,具体体现在以下几个方面(不全,请补充):
1. 粘度相对比较小的树脂,在相同的模量下,能填充入相对比较多的填料;这个和成本有关系;
2. 粘度低的产品,填料分散性能会好一些;
3. 挤出性能,粘度低的肯定好;
4. 如果用于粘接木地板(这个欧洲量,特别大),粘度低的树脂,刮胶比较方便;
5. 生产时,粘度低的加料比较容易;
粘度高的产品,我个人还没有看出来有什么优点,听说有;估计是:
1. 树脂的成本低,仲胺基硅烷封端,成本是所有硅烷封端中最低的;但是,粘度也是最高的(这个有会提高密封胶的成本);高到一般在70000cp以上;我个人感觉是无法忍受;
2. 力学性能好,耐水性能可能好点;这个估计和酯键的键能有关系;
高粘度还有什么,望各位补充一下;
瓦克的STP-E
上面是瓦克的硅烷改性聚醚的结构式;从这个结构式中,我们可以看到瓦克的产品,有二种不同的封端类型;第二种没有什么好讨论的,就是异氰酸酯丙基三甲氧基硅烷(A-LINK35)加上羟基聚醚;
而第一个,是要可以看看的;首先,瓦克是一家硅烷偶联剂的生产厂商;从图二可以看出,他们合成的硅烷改性聚醚,主要还是围绕着硅烷偶联剂接枝这个路线进行的;从瓦克的一些宣传资料中。可以看出,瓦克单独的开发了这个我暂命名为甲基异氰酸酯甲基二甲氧基硅烷;这个硅烷偶联剂不是市场上公开发售的产品;但是,为什么瓦克要单独的开发这个硅烷偶联剂呢?
我个人认为,瓦克已经意识到了,三甲氧基硅烷反应活性过高的问题;所以,单独开发了甲基二氧基硅烷偶联剂!
另外,从瓦克的产品介绍来看,可以不用锡类催化剂;但是,从他们的推荐配方来看,我又发现了他们推荐用二烃基锡化合物来做催化剂;推荐用量还不小;个人认为,三甲氧基树脂,仅用胺类催化剂,估计可以(但要找到合适的);甲基二甲氧基的树脂,必须还是要用锡类的催化剂。
还有,从其他产商,比如迈图的三甲氧基产品来看,没有推荐讲可以不用锡类催化剂;我猜想,瓦克在合成异氰酸酯硅烷的时候,可能胺类的残留物过多;所以,还是有自催化的效果存在;笔者在后面专门讨论异氰酸酯硅烷偶联剂的合成时,会详细地讲讲这个问题;
瓦克的产品,从国内短暂的推广试用情况来看;普遍的反应是储存稳定性差,固化快;我想,这个自催化的效果有关系;
还有,瓦克的树脂,是分不同的模量的;很有趣,瓦克宣传自己的产品是聚醚类的;但是,不象钟渊,模量越高的产品,粘度越大;而象迈图,模量越低的产品,粘度越大;大家应该知道,粘度一般是和分子量挂钩的;瓦克的产品就非常的符合逻辑,分子量低,粘度低,交联密度大,模量高;反之亦然。
结论是,瓦克还是停留在硅烷偶联剂生产厂商,他们的产品,还是一个偶联剂主导的,在其他技术领域没有更多涉及的产品。
硅烷改性聚氨酯和硅烷改性聚醚合成路线讨论(七)
异氰酸酯硅烷偶联剂
异氰酸酯硅烷偶联剂(迈图ALINK25,35;信越9007);是迈图和瓦克,合成硅烷改性树脂关键的原料;这个硅烷偶联剂是天价的产品,迈图和信越的价格,一般在600元以上; 那么这个东西,是如何合成呢?
一般,通常的合成路线,就像TDI,MDI一样,用KH550(硅烷偶联剂)加上光气,合成出端异氰酸酯基的硅烷;设备投入比较大,但是,工艺还是很稳定的;就是没有厂商会这么弄;用MDI的设备,来做这个,设备的折旧,就是个天价的成本啊;
第二,在国内,国泰华荣有生产此硅烷的一个专利;其核心是用碳酸二甲酯和胺基硅烷来生成胺基甲酸酯硅烷后,高温裂解成异氰酸酯硅烷和小分子量醇;但是,国泰华荣没有进行生产,不知是什么原因;
还有,国内的很多论文讲到了用三光气法生产异氰酸酯硅烷;从这些论文来看,没有讲到如何避免胺基硅烷的胺基(原料)和生成的异氰酸酯的再反应(方法一是通过设备来解决这个问题的);所以,从论文的纯度检测方法而言,实际生产的意义是不大的;除非还是要通过昂贵的设备,来解决这个问题;
从我个人的一些不多的合成知识来看;国泰华荣的专利,是比较合适于大规模生产的;首先,是无毒;其次,原料和成品之间的再反应很小,最终品的纯度会比较有保证;最后,原材料的来源和成本可控;
国内应该还有一些合成的技术,能生产异氰酸酯硅烷;希望论坛上,有人能补充一下合成路径,大家共同学习;
综上所述,异氰酸酯硅烷的生产成本,是不高的;在中国,销量是很少的;所以,价格是很高的,主要是没有必要降价;如果随着国内的硅烷改性类产品的销量逐步提升,和国内硅烷改性树脂合成的水平逐步提升,这个产品的前途,是大大的!
硅烷改性聚氨酯和硅烷改性聚醚合成路线讨论(七)
迈图等SPUR的合成路线和参考密封胶配方
迈图的SPUR的合成,前面已经讲了很多了;主要是用异氰酸酯扩链后加上硅烷封端,从技术角度而言,没有什么难度;无非是用不同的异氰酸酯,达到不同的性能;(比如用MDI能有较好的力学性能,用IPDI能有较好的耐候性能,用H12MDI会有好的耐候性能和力学性能等);个人感觉,这个更像是聚氨酯弹性体的一些范畴;合成的难点在于力学性能和粘度的平衡!
迈图的密封胶参考配方如下:
这是一张笔者所看到的迈图参考配方中,比较合理和全面的;其中的碳氢油是指碳氢溶剂,以埃克森美孚的脱芳烃溶剂(比如D80,D100,D130)等高沸点溶剂;主要作用是用于降低体系粘度(也可以从这个角度来考虑,树脂的低粘度是多么的重要);因为这些溶剂的沸点一般都会高于250摄氏度;所以,笔者认为,用这些溶剂,还是比较的安全;但是,会强烈的影响到密封胶的抗收缩性能;
另外,这张配方中的吸水剂(A171)的用量比例非常的高;也另一方面说明了迈图的低模量树脂的拉伸断裂率是不错的(1015是不错的,就是粘度高);A-171吸水剂是乙烯基三甲氧基硅烷偶联剂;添加在体系中,对体系的力学性能是有一点负面影响的!
配方中,A-1120是粘结力粘结力促进剂,一般是用二个以上硅烷偶联剂复配;比如,用A1110和用A1120复配;配方中,这类胺基硅烷的另外一个用途是催化剂;合理的用量,能有效的加快胶条的深层固化速率;还有,用不同的偶联剂做粘结力促进剂,能得到不同的拉伸断裂率;从公开的文献看,甲基三甲氧基硅烷偶联剂》仲胺基硅烷偶联剂》伯胺基硅烷偶联剂;所以,在表干和固化时间上,能充分调整的基础上,用不同的粘结力促进剂,能达到不同的力学性能;
本人水平有限,图片不能插入,补充一下:
配方:
SPUR1015 21.7%
DIDP 20.3%
碳氢油: 2%
A-171 0.9%
碳酸钙(沉淀法,细) 33.1%
碳酸钙(研磨法 粗) 16.1%
Tinuvin 213 0.2%
Tinuvin 765 0.2%
Areosil 972 1.1%
Tio2 1.1%
A-1120 0.5%
二月桂酸二丁基锡 0.03%
粘结力促进剂和模量关系(不考虑固化时间影响):
硅烷偶联剂 A-1110 A-1120 ALINK-15 A-1673
拉伸断裂率(%) 651 626 1150 1073
抗拉强度(N/mm) 7.97 7.08 5.39 7.81
硅烷改性聚氨酯和硅烷改性聚醚合成路线讨论(九)
MS聚醚的合成难度
前几天,笔者好奇,想知道,为什么这么多先驱想做MS;但是,在国内,至少目前为止,还没有一家公司能生产类似的产品的原因;于是,查资料,找原料,试了几次,发现了一些问题,主要如下:
1. 扩链:文献上讲的是用二氯甲烷把聚醚扩链,聚醚先用甲醇钠进行醇钠化处理;实验下来,至少是我的实验室里,无法完成这项测试!聚醚颜色变成深棕色,二氯甲烷滴加后液体的PH值,没有任何的下降;但是,国内有企业用一氯甲烷进行烯丙基聚醚的羟基封端;估计是鄙人的能力和实验室设备无法保证这项实验的进行;
2. 烯丙基聚醚;用纯EO的烯丙基聚醚,分子量在1000以上,基本上常温下就是固体了;固需要EO/PO共混的烯丙基聚醚,当然,分子量越大越好;但是,联系了国内的几家烯丙基聚醚的厂商,对这个产品,都不是很感兴趣;我也没搞懂,MS可是能养活半个世界500强企业的产品啊!为什么都不感兴趣呢?
3. 硅氢加成:首先,含氢硅烷样品不好弄;甲基二甲氧基硅烷更不好弄!其次,大分子量的烯丙基聚醚和含氢硅烷的硅氢加成反应所用的催化剂,估计氯铂酸也是不行的!聚醚做出来,是要求接近于无色的;而氯铂酸可能会有铂黑析出啊!
4. 总结:MS合成是一个系统性的工程,实在是不适合国内的一些小厂研发;技术人员的样品寻找能力和原料厂商的沟通能力,都会有一定的局限性;唯一可行的方法是找一家聚醚厂商,让他们来生产和做此类的产品;这样,我上述的一些问题,可能都会迎刃而解了;
5. 系统性的工作,应该有系统来解决;论坛上的高手们,能否合力把这个产品搞出来;鄙人呼吁大家团结起来!!!!
硅烷改性聚氨酯和硅烷改性聚醚合成路线讨论(十)
密封胶中的触变剂的类型和简单应用
硅烷改性密封胶中,触变剂是一个非常关键的东东,主要是保证密封胶在垂直里面不下垂;一般有以下几个分类;
气相法二氧化硅
最传统的触变填料,在硅烷改性密封胶中,一般推荐用疏水型的(原因不明,笔者一直认为可以用亲水性的);气硅是非常常用的填料;但是,用于硅烷改性聚氨酯密封胶,会提高密封胶整体的稠度和模量;在多填料的硅烷改性密封胶中(一般填料份额高于60%),增稠和提升模量,会影响到挤出性;
纳米碳酸钙
补强效果不如气硅;但是,价格便宜,并且能大量添加;所以,是各类有机硅密封胶的常用填料;问题是,国内的纳米钙质量参差不齐,表面改性工艺也是各不相同;所以,相容性的测试是必要的;
聚酰胺蜡
非常好的触变剂!!特别推荐CRAYVALLEY SL!用在硅烷改性密封胶体系中,是绝配;理 由如下:
1. 不会增加体系的稠度和模量;
2. 活化温度在110度左右,正好和脱水工艺相匹配;
3. 对体系的挤出性能帮助非常大;
4. 价格相对于疏水性气硅而言,还是蛮有竞争力的;
现在这类聚酰胺蜡的产品,主要是进口;但是,在国内,也有一些好的生产厂商;但是,他们的产品,主要用于涂料行业,而不能用于硅烷改性密封胶(原因是涂料行业的聚酰胺蜡的活化温度比较低,比如70多度,而搅拌温度过高,会导致所谓的反粗现象);估计是我们这个应用目前的量,还是比较的小;但是,在欧洲,大的生产厂商,一年的聚酰胺蜡的进货量,是以千吨计的!
碳黑
这个触变剂,也不要多讲;经常在用;最原始的橡胶补强填料;
硅烷改性聚氨酯和硅烷改性聚醚合成路线讨论(十一)
现在流行太阳能板,笔者发现很多硅酮胶的大厂,都在上太阳能密封胶项目;但是,硅酮胶做太阳能,要解决很多问题;比如,和铝板的粘结力问题,硅酮胶收缩的问题等;也就换句话讲,如果硅酮胶,能用在太阳能里面;产品合格的话,这支胶水也是个天价的产品!
而在国外,低成本的解决方案,一般是用硅烷改性聚氨酯(聚醚)来做此类的密封胶;比如汉高,比如荷兰燕子牌,比如西卡等;下面是一个汉高的台湾网站,里面详细地说明了一些太阳能胶的具体用途;
http://www.henkel.com.tw/adhesives_1_1_5_3.asp
硅烷改性胶做太阳能专用密封胶,有非常多的好处;最核心的就是对界面的粘结力,能用非常低成本的方法获得;而且,能提供非常好的力学性能来满足太阳能的需求(硅酮胶一般是不行的,国内很多厂商用硅酮胶所提供的数据,大都是假的!);
硅酮胶也可以和金属有比较强的粘结力;比如,用螯合钛催化剂;但是,用钛类催化剂,消粘时间和力学性能,也是一个非常大的问题啊!
汉高的MS930,MS939等硅烷改性胶,笔者有时觉得简直就是一个万能胶,什么地方都能用(汽车,轮船,火车,太阳能,建筑等);这个主要是和硅烷改性胶的粘结界面广有很大关系;同样的,硅烷改性聚氨酯也有相同的性能;
满刮胶安装用木地板胶的进化之路
最早的木地板安装方法为龙骨安装,在地面钉上木条,找好水平,把木地板条钉在木龙骨上。这种方法费时费力,缺点有很多,比如:木地板架空,步行声音较大;木地板下空间容易滋生细菌;地采暖地面不能钉木龙骨;地板变形难控制等。小块的木地板不能用龙骨,早已采用粘贴安装方法。为什么长条木地板较难采用粘贴法安装呢?因为木材变形时产生的力很大,对粘合剂要求很高。
二战以后,随着化学工业的发展,欧洲逐渐兴起粘贴法安装木地板。以德国为例,德国地面系统最强大的两家公司—汉高妥善和优成,都推出了木地板胶。第一代木地板胶是溶剂型的,汉高妥善的牌号是P600,优成的牌号是MK73。
溶剂型产品固有的缺陷基本是相通的:施工中,溶剂对人体有害;对环境产生污染;室内环境排放超标;易燃,运输不便等。
限于当年化学工业技术,此类产品力学性能一般,所以并无亮点。
溶剂型产品以后,妥善发展出了第二代木地板胶P618,乳液型产品。优成发展出了类似产品MK80和MK83。
此类产品排放较低,使用中无需特别防护,有害物排放能够达到欧洲EC-1级别。但是此类产品为水性,含有大量的水,并且粘结力一般,不适用于潮气敏感型木材,仅适用于小方块拼花木地板。
第三代木地板粘合剂为双组份聚氨酯产品,技术成熟与上世纪80年代末。妥善的P625和优成的MK92是代表作。
此类产品粘结强度优异,有害物质少,固化后基本无理化危害,有害物排放能够达到欧洲EC-1R超低排放之级别。适用于所有实木地板、实木复合地板(包括高档的两层、三层实木复合地板)、拼花木地板、竹木地板等。
缺点在于这是双组份产品,使用不便,必须使用电动搅拌器搅拌均匀后才能使用,并且搅拌完毕的粘合剂必须在10-20分钟内使用完毕,如少量搅拌需要用计量工具称量。此外B组份为二苯基甲烷二异氰酸酯(MDI),属于低毒性物质,对施工人员有害,现场环境必须通风。
90年代,欧洲发展出第四代木地板胶,就是使用简便的单组分聚氨酯粘合剂。妥善的牌号是P630,优成的牌号是MK95。
此类产品主要成分为NCO封端聚氨酯预聚体,即开即用,使用简便,有害物排放能够达到欧洲EC-1R超低排放之级别,对施工人员危害极小。
该产品的优点很多,比如力学性能极其优异,粘结强度极高,适合所有木地板,包括实木地板、多层实木复合地板、拼花木地板、竹木地板等。
缺点在于该产品一般来说保质期不长,此类产品的固化机理为潮气固化,所以包装必须做到非常密封,严防潮气。尽管如此,在高温下储存时间还是比较短,一般只有6个月。
在欧洲越来越严苛的环保法规下,第五代木地板胶诞生了,这就是硅烷封端聚氨酯木地板粘合剂。汉高妥善的牌号有P685、P695、P675,优成有MK100、MK102、MK200。
此类产品力学性能极其优异,耐候性好、耐高温性好,单组分湿固化型,即开即用。排放超低,如汉高的P685、P695、P675都能达到欧盟最新EC-1R Plus标准。此类产品固化时,仅排放微量的甲醇或乙醇蒸汽及微量水汽,堪称目前全球最环保的室内用粘合剂。
木地板胶的进化之路从最早的最求力学性能开始,其实到了第三代,就已经足够了,到了第四代已经登峰造极。第五代产品追求的是人与环境的和谐,对人类无害、对环境无害。
木地板胶只是木地板铺装系统的一小部分而已,从基层处理、界面处理、到地面防潮、地面找平,甚至包含降噪技术等,是一个庞大的系统工程,只看木地板胶是管中窥豹只见一斑,以后有机会逐一讲述。
转贴我朋友的文章,硅烷改性树脂在木地板胶上的应用,在欧洲,那可是主流啊!!
浅谈地材铺装用界面剂及界面处理技术
界面剂,以其功能而得名。通过理化机理促进粘结界面的附着力。界面剂及界面处理技术是地材铺装的基础,就像建筑物的桩基一样,没有桩基,建筑物一定出问题。
在德国,基层修复和界面处理是最重要的环节。在中国,界面处理这个不可见的隐蔽工程最为人忽视。
首先谈谈界面剂的种类,以化学属性分,可以分成以下种类:丙烯酸乳液基、聚氨酯基、环氧树脂基、改性砂浆基。
从应用领域分,可以分为:吸收性无机非金属基层用、非吸收性无机非金属基层用、金属基层用、树脂基层用、木材及人造板材基层用。
吸收性基层用界面剂:
适用基层:混凝土基层、砂浆基层、自流平基层。适合作为水泥自流平、石膏自流平、低流动度找平砂浆、高塑性找平砂浆的界面处理。适用于水性粘合剂、无溶剂聚氨酯粘合剂的界面处理。不适用于非吸收基层、木板基层、树脂基层。不适用于溶剂型粘合剂、反应型环氧树脂粘合剂的界面处理。
国内最常见的界面剂是吸收性无机非金属基层用界面剂,这类产品基本都是水性丙烯酸树脂类的产品。汉高的R777、优成的PE360是比较典型的产品。这类产品一般来说固含量在18%~22%,乳液粒径较小,利于渗入砂浆。此类界面剂与自流平层的粘结机理是半干状态的界面剂封闭基层毛细孔并促进自流平砂浆与基层的粘结力,也就是在乳液未成膜(通俗地说干燥)前,半干状态时施工自流平。除了促进粘结力之外,还有对自流平砂浆的保水作用,在自流平初凝前,减少地面吸收自流平砂浆中的水分,利于自流平街头处理,利于自流平砂浆的强度发展。但是,如果地面起砂,仅仅依靠此类界面剂封闭基层是不足的。
此类产品目前国内大部分自流平工厂都能做。但是这里存在认知和商业伦理问题,用的乳液是否为BASF、DOW的合适产品?固含量是否合适?是否存在认知误区?是否为了迎合施工队要求的起砂地面封闭性而放弃渗透力?
很多施工工人认为界面剂需要有粘性,这样才是好的界面剂,其实这是一个致命的误区,如果有粘性就是好的界面剂,为什么不用地板胶做界面剂呢?在这里,界面剂仅仅起到促进粘结力和保水作用,粘结力还是需要自流平自身提供,这就是985标准规定自流平粘结强度必须大于1Mpa的原因。
如果非吸收性界面剂有了粘性,就要小心了。优成的PE360和汉高的R777仅在固化的某一时段具有极轻微的粘性。具有粘性的界面剂所用乳液是低玻璃化温度的,也就是这种产品的强度低,不适合做界面剂。
此外,有些工人喜欢到小化工厂购买所谓的“原液”,自己勾兑界面剂。这是更加致命的。界面剂所用乳液,对ph值、乳液粒径、玻璃化温、干膜耐碱性、耐水性、附着力等有着严格的要求。买的“原液”具有怎样的指标,恐怕小化工厂自己都给不出,所以,使用这样的界面剂,比不用还要不好。
界面剂还有一个非常重要的作用是抗碱,丙烯酸乳液抗碱能力极佳,所以非常适合做界面剂,有时候从小化工厂买来的乳液未必是丙烯酸类乳液,如果买来的是乙酸乙烯酯类乳液,那就全完了!
国内施工队也好,地板商也好,一般只用这种吸收性基层用界面剂处理所有的地面。如果用在无机非吸收性基层,如水磨石、地砖、石材等地面,往往产生非常严重的后果。界面剂为合成胶乳系产品,固化机理是合适的温度环境下水份蒸发以后,树脂成膜,牢牢的粘结住基层。一般来说地表温度低于10度,此类界面剂就很难成膜了。夏季高温季节乳液成膜快,自流平施工在薄膜上,非重载使用环境可能不出现问题。冬季温度低,乳液无法成膜,肉眼观察好像已经干燥,其实没有强度,此事在界面剂上施工自流平,这层薄膜反而成为自流平粘结基层的障碍,所以就空鼓并开裂。下图拍摄于江阴祝塘镇金贝幼儿园,地面为花岗岩,施工时间为2011年1月13日,当天最高气温6℃,最低气温-2℃,现场空调为施工时打开。施工完毕后大约24小时发现自流平大面积空鼓并开裂。
为什么打开空调还出现这种状况?因为空调加热地面效果奇差,至少开启72小时以后才有可能提升地表温度,施工时打开根本不能提升地表温度。温度过低,界面剂无法成膜并且成为自流平砂浆粘结石材地面的障碍,所以导致施工失败。同样的情况也发生在苏州体育学院、石家庄42中学宿舍。
这里不得不说一个专业术语“成膜”,所谓成膜指乳液中的水份挥发以后,乳液牢牢粘住基材并且形成均匀致密的薄膜。成膜反应需要温度,在最低成膜温度以下,乳液就不能成膜,水份挥发以后的乳液呈现粉化状态。上述几个工地自流平起鼓的原因就是乳液无法成膜而粉化。可想而知自流平层粘结在一层微粉之上,不空鼓才怪。
此类界面剂还有一个特殊用途:在自流平层上涂刷,降低自流平层的吸收性,减少无填料粘合剂的用量并促进粘结力。优成2010年推出的U3000系统就是代表作。涂刷界面剂以后降低基层吸收性,粘合剂用量低至每平方米50-80克。
非吸收性界面剂:
无机非金属非吸收基层,如水磨石、地砖、天然石材、硬化地坪、修复地垫等。适合作为水泥自流平、石膏自流平、低流动度找平砂浆、高塑性找平砂浆的界面处理。不适用木板基层、树脂基层。不适用于溶剂型粘合剂、反应型环氧树脂粘合剂的界面处理。
此类界面剂也是丙烯酸乳液类产品,只是根据非吸收性基层的要求而开发。这类产品要求与无机非金属基层具有良好的粘结力,固化迅速、干膜强度高、耐水性好。典型的产品是汉高的R760、优成的PE260,这类产品一般来说固含量在40%以上。
此类产品必须在地表温度高于10℃施工,相对湿度小于75%,涂刷完毕后,一般需要干燥4-8小时,必须等到完全固化成膜以后才能施工自流平。普通吸收性自流平用于地砖、石材、水磨石一类的基层上,哪怕完全固化后,干膜还是会被自流平砂浆浸泡疏松,导致粘结界面空鼓,所以必须使用非吸收性界面剂。
此类产品技术特殊,原料依赖进口,国内需求小,国内目前只有四家公司在做。
在欧洲,这两种界面剂有合二为一的趋势,汉高妥善的最新产品R766就是伟大的技术。彻底颠覆了两种界面剂存在的理论依据。这是最前沿的科技,本文不涉及。此类界面剂适用于吸收性和非吸收性基层,适用于木板、树脂基层。
聚氨酯界面剂:
适用基层:无机吸收性基层和无机非吸收性基层、木板基层和木制品基层、树脂基层。不适用于金属基层。
某些难于被粘结的基材和对水汽敏感的基层,如环氧树脂、木板,这些基层不适用水性界面剂,聚氨酯界面剂应运而生。该产品用于砂浆基层的效果也非常好。优成的PE414,汉高的R740就是具有代表意义的产品。此类产品为单组分聚氨酯预聚体技术,施工方便,固化迅速,无毒,高渗透性,与基层粘结力强,适应多种界面,通用型高。
此类界面剂对基层的潮湿度最高耐受4%(CM法)并且具有一定的渗透力,具备一定的浸渍渗透硬化能力,对轻度起砂地面效果良好。遗憾的是,此类产品没有引进中国。此类产品具有透气不透水的特点,特别适合作为木地板的安装系统界面处理。
无溶剂反应型环氧树脂界面剂:
适用基层:吸收性基层、无机非吸收性基层、环氧树脂基层、钢板基层等,适用范围广。不适用于聚氨酯基层。
其实此类产品应该算防潮膜和界面修复剂,功能强大。对基层含水率耐受8%,具有非常良好的渗透力,掺入溶剂后可以作为地面浸渍渗透硬化剂使用。
但是此类产品也有缺点:施工不便,一定要抛砂,并且抛砂工艺非常讲究,时机掌握不好,砂子沉入环氧树脂或者没有被粘住,必须重新施工。
此类产品汉高有R755、亚地斯有DPM,可惜,因为国内销量小,不进口了。优成有PE460,国内生产。特朋有T450,其他厂家目前没有生产。
这类产品用于原环氧树脂地面、钢板地面效果非常好,在国内的主要用途为:治理地面起砂、地面缝隙修补、地面防潮、环氧树脂地面施工自流平的界面处理、钢板表面的界面处理与防锈。
似乎用此类产品需要注意的是,不可用于聚氨酯地面,施工前必须明确知道原地面树脂到底是环氧还是聚氨酯,否则后果严重。下图为江阴体育中心铺设Gerflor运动地板,地面潮湿而工期紧张,应用T450防潮的实际案例。
此类产品在国内推广遇到两个问题:造价过高和必须抛砂处理。造价达到每平方米35元以上,施工人员没有经验,不懂得把握抛砂时机。抛砂过早,砂粒沉入树脂层,需要重新涂刷抛砂,否则自流平砂浆不能粘住环氧树脂,抛砂过晚,砂粒无法被环氧树脂粘住,也需要重新涂刷并抛砂。
水性反应型环氧树脂界面剂:
此类产品在国外很成熟,亚地斯引进了256和300,德国优成有PE420,都是优秀的环氧树脂界面剂。此类产品与油性环氧树脂对比,具有水汽透过的特点,也就是防水但不防潮,用于透气性地面效果良好。并且施工方便,无需抛砂处理,界面剂干燥之前可以直接施工自流平。作为透气系统的界面剂,特别适用于木地板安装。
双组份砂浆型界面剂:
德国汉高有R790,德国优成有PE630,这类产品主要用于缝隙较多的界面,如木地板、地砖表面,一举完成界面处理和填缝,尤其适合老旧木地板翻新工程的界面处理,是非常完美的产品,可惜没有进入中国。
下图为PE630的演示图:
导电界面剂:
导电地板需要一个完整的导电安装系统,故发展出了特殊导电界面剂。汉高妥善有R762,优成有PE260L,都是在非吸收性界面剂基础上开发的产品,特别加入了导电填料。
下面的图片是一些汉高妥善的系统解决方案,原则是解决问题,合适就好。但是对于界面剂的选择却非常慎重,可见界面剂的重要程度。
