利用剪切粘接强度、SEM等方法,考察了有机硅烷偶联剂的种类和处理方法对丙烯酸酯类胶粘剂,粘接强度的影响。
结果表明:将偶联剂HD-M2133预处理物体表面及掺入乳液、适当高的固化温度都能显著地提高粘接强度。
有机硅烷偶联剂是一类在分子中同时具有两种不同性质的反应性基团的有机硅化合物,通过偶联 剂能使两种不同性质的物质很好地“偶联”起来,从而形成无机相—偶联剂—有机相的结合层,使各类复合体系的粘结强度得到显著地改善。 丙烯酸酯类胶粘剂广泛地应用于纺织、印染、造纸、涂料、石油化工[1-2]等行业,其粘接强度基本上都能满足生产使用要求。但在某些特殊场合下,需用偶联剂对基材进行表面处理,以增加其粘接强度。本文考察了不同种类偶联剂及不同处理方式对丙烯酸酯类胶粘剂的粘接强度的影响,从理论上探讨了偶联剂的作用机理,同时具有很大的应用价值。
1 实验部分
1.1 原材料 丙烯酸酯乳液(自制),偶联剂HD-M2133、HD-M2133(盖县化工厂)为工业品。
1.2 粘接强度测试 拉伸机型号XL-380,拉伸速度25mm/min。同时,有一些钢片样品在5%NaCl溶液中浸泡一段时间后取出,再进行测试。
1.3 SEM 用日立S-450测试涂层表面微观形貌,所有试 样未喷金。
1.4 偶联剂溶液的配制 将2g偶联剂溶于98g无水酒精中制得2%的偶联剂酒精溶液。
2 结果与讨论
2.1 偶联剂作用机理 本实验所用HD-M2133和HD-M2133都是硅烷类偶联剂,
其化学名称和结构式如下:
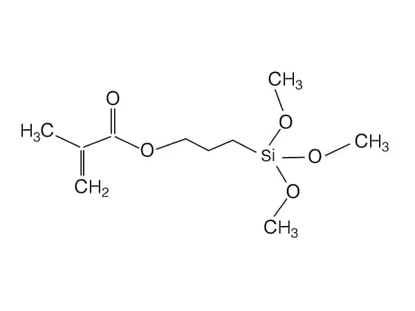
HD-M2133:γ-甲基丙烯酸丙酯基三甲氧基硅烷, CH2=C(CH3)COO(CH2)3Si(OCH3)3
HD-M2133:γ-氨丙基三乙氧基硅烷,NH2(CH2)3Si(OC2H5)3 以HD-M2133为例解释钢铁-偶联剂-有机涂层之间的作用机理。
首先HD-M2133分子中甲氧基水解成三羟基硅烷中间产物。其中1个羟基与吸附在钢铁表面的羟基或氢氧化物起作用,脱去1分子水形成强的硅氧键。余下的2个活性基团同时进行分子间脱水反应,在钢铁表面形成一层聚硅氧烷薄膜;同时烃基部分与有机涂层进行聚合反应,形成互穿网络聚合物,这样偶联剂就像一个个“锚”将有机涂层牢固地吸附在钢铁表面上[3]。
2.2 偶联剂种类对剪切粘接强度的影响 从表1可以看出用偶联剂处理的样品的粘接强度比未处理样品的好,并且用HD-M2133预处理样品比HD-M2133粘接强度好。HD-M2133和HD-M2133的2%乙醇溶液处理钢片表面,增加了乳液和钢片表面的润湿性。因为HD-M2133中含有不饱和双键,在高温下或在引发 剂和促进剂的作用下很容易和丙烯酸酯乳液中残余的不饱和双键或由于温度等条件变化而瞬时产生的自由基发生反应,形成共聚物,这样HD-M2133与涂层之间不仅有物理润湿吸附作用,而且具有较强的化学键合,将涂层牢固地吸附在钢片表面,增加了涂层和基材之间的粘接力;而HD-M2133分子中没有不饱和双键,它与涂层之间只有物理吸附作用,这样形成的涂层与基材之间的粘接力没有HD-M2133作用大。
表1
偶联剂种类和处理方式对剪切粘接强度 (MPa)的影响(5%NaCl溶液中浸泡)浸泡时间,天0137未处理1.911.881.901.78HD-M2133预处理7.507.006.904.50HD-M2133预处理3.603.524.002.40HD-M2133掺入乳液 * 5.40 5.00 5.30 3.
50 注:样品在120℃烘30min。 *HD-M2133溶液的加入量为乳液的0.5% 2.3 偶联剂处理方式对剪切粘接强度的影响 从表1可以看出,将HD-M2133掺入丙烯酸酯乳液中,剪切粘接强度也有较大提高,这个结果对于工业化实施具有重大意义。同时可以看到,NaCl溶液中 浸泡以后,剪切粘接强度下降趋势也以HD-M2133处理样品的小,这可能是因为HD-M2133处理样品能够形成牢固的涂膜,阻止水、Na+ 、Cl- 、空气对基材的渗透侵蚀作用,这也从侧面反映出HD-M2133的作用。2.4 固化温度的影响 从表2可以看出,120℃固化样品的剪切粘接强度大于50℃固化样品的剪切粘接强度。这可能是因为120℃固化偶联剂分子中的不饱和双键与乳液中的不饱和双键起作用,形成有效的牢固的化学键使涂层紧密地粘附在钢片表面。 表2
固化温度对剪切强度的影响 固化温度,℃120
50 未处理1.911.80HD-M2133预处理7.504.80HD-M2133预处理3.603.20HD-M2133掺入乳液 5.40 3.
32 2.5 SEM 为了更清楚地观察偶联剂在涂层和基材之间所起的作用,利用SEM对样品进行扫描观察结果示于图1中
。
图1 SEM观察结果 照片(1)为钢片涂2层乳液的横断面,白色区域 为涂层,黑色区域为钢片基材,可以清楚地看到钢片表面凹凸不平,而涂层较为流平。 照片(2)为钢片涂乳液后再浸入丁酮后的样品的表面,可以看到涂膜除溶胀外,还有部分脱落。照片(3)为钢片用HD-M2133预处理后再涂乳液,待形成胶膜后,再将其浸泡于丁酮后的样品表面,可以看出样品表面较为平整,未有破坏现象。 对比照片(2)和(3),可以清楚地观察到偶联剂在涂层和钢片基材之间所起的“桥梁”作用。
3 结论 HD-M2133预处理基材(钢片)后,再涂以丙烯酸酯类胶粘剂,其剪切粘接强度优于HD-M2133,将HD-M2133掺入丙烯酸酯类胶粘剂中,样品的剪切粘接强度也有显著提高,这对于工业化实施具有重大意义。适当高的固化温度(如120℃)对HD-M2133处理(包括预处理和掺入)的样品,其剪切粘接强度显著提高,而对于用HD-M2133处理的样品,效果不显著。
